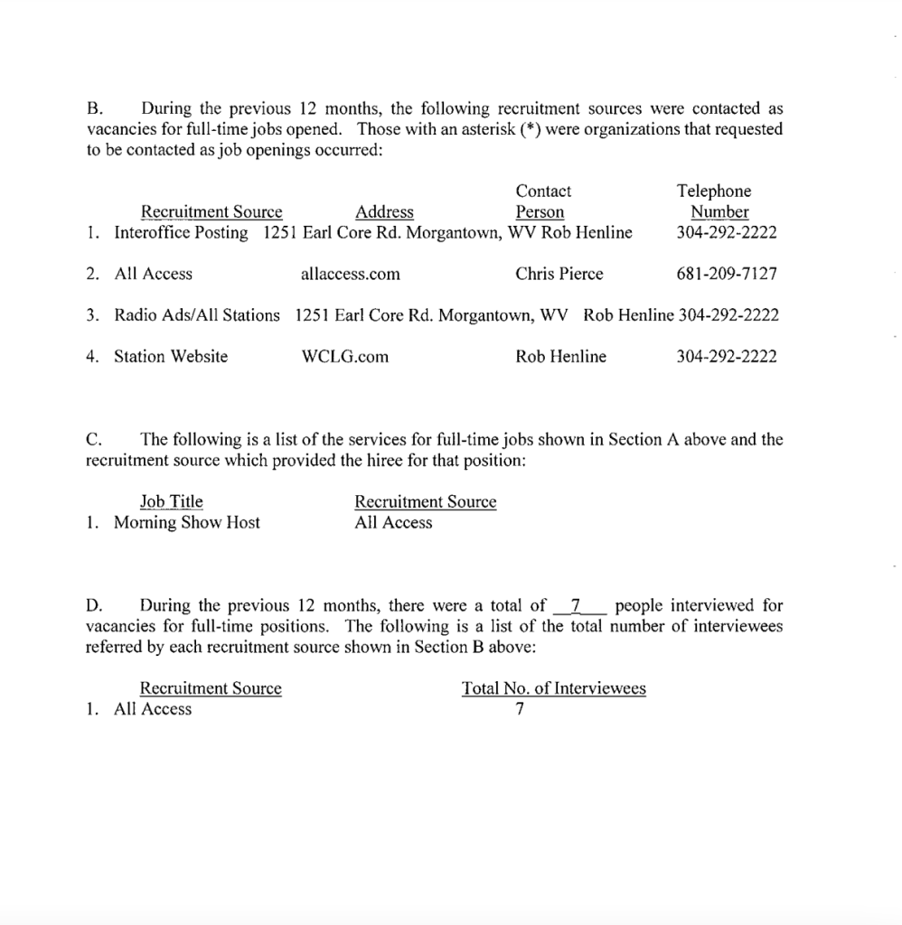
EEO